[백준] 15236번 : Dominos - JAVA [자바]
15236번: Dominos
Dominoes are gaming pieces used in numerous tile games. Each domino piece contains two marks. Each mark consists of a number of spots (possibly zero). The number of spots depends on the set size. Each mark in a size N domino set can contain between 0 and N
www.acmicpc.net
-
문제

오늘은 조금 특별하게 영어 문제를 들고 왔다. 어렵지 않은 문제라 쉽게 풀 수 있다.
- 알고리즘 [접근 방법]
해석하기 귀찮으신 분들을 위해 간략히 문제를 설명드리자면 이렇다.
1. 입력받는 N 은 '한 블럭'에 찍힐 수 있는 점의 최대 개수다. (도미노 한 개는 두 블럭으로 이루어져 있다.)
2. 윗 블럭은 아래 블럭보다 점이 많을 수 없다.
3. 그림의 규칙을 보고 점이 0개 일 때부터 도미노의 두 블럭에 N개의 점이 모두 찰 때까지 나열했을 때 찍히는 점의 모든 개수를 출력하면 된다.
그림으로 보자면 이렇다.
N = 0

출력 : 0
N = 1

출력 : 3
N = 2

출력 : 12
N = 3

출력 : 30
이렇게 점의 개수를 출력하는 문제다.
물론 반복문으로 풀 수도 있지만, 수학적으로 접근해보도록 하자.
일단 윗 타일과 아랫 타일로 나눠서 생각해볼 필요가 있다.
1. 윗 타일 부터 생각해보자.
N = 1 일 때는 0 ~ 1
N = 2 일 때는 0 ~ 2
N = 3 일 때는 0 ~ 3
⋮
N = n - 1 일 때는 0 ~ (n - 1)
N = n 일 때는 0 ~ n 개가 찍힐 것이다.
이 것을 모두 합해보자면 이렇다.
N = n 일 때, 1은 n 번 반복되고, 2 은 n-1 번 반복되고, 3 는 n-2 번 반복되고, ⋯ n-1 은 2 번 반복되고, n 는 1 번 반복된다.
그럼 임의의 k 에 대해서는 n - k + 1 번이 반복된다는 것을 알 수 있다.
그리고 (n - k + 1)이 총 k 번 반복되므로 0~k 까지 윗 타일의 점의 총 개수는 k(n - k + 1) 가 된다.
아래 타일을 보자.
N = 1 일 때는 1이 2번,
N = 2 일 때는 2가 3번
N = 3 일 때는 3이 4번
⋮
N = n - 1 일 때는 (n - 1) 이 n번
N = n 일 때는 n 가 n + 1 번 찍힐 것이다.
0~k 까지의 아래 타일의 합은 k(k + 1) 이 된다.
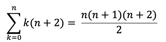
이제 윗 타일과 아래 타일의 두 식을 합치면 이렇다.
k(n - k + 1) + k(k + 1)
= kn - k2 + k + k2 + k
= k(n + 2)
그럼 k에 대해 = 0~n이라고 하면 다음과 같이 수식이 완성된다.

이 공식을 그대로 쓰면 된다.
또한 n(n + 1)(n + 2) 는 항상 짝수이므로 정수로 나눠도 무방하다.
- 2가지 방법을 사용하여 풀이한다.
Scanner와 BufferedReader 입력방식을 각각 나눠서 비교해보겠다.
1 . Scanner
2. BufferedReader
- 풀이
- 방법 1 : [Scanner]
import java.util.Scanner;
public class Dominos {
public static void main(String[] args) {
Scanner in = new Scanner(System.in);
int N = in.nextInt();
System.out.println((N * (N + 1) * (N + 2)) / 2);
}
}
- 방법 2 : [BufferedReader]
입력 방법을 Scanner 대신 BufferedReader 을 사용하여 풀이하는 방법이다.
import java.io.BufferedReader;
import java.io.InputStreamReader;
import java.io.IOException;
public class Dominos {
public static void main(String[] args) throws IOException {
BufferedReader br = new BufferedReader(new InputStreamReader(System.in));
int N = Integer.parseInt(br.readLine());
System.out.println((N * (N + 1) * (N + 2)) / 2);
}
}
- 성능

채점 번호 : 23609680 - 방법 2 : BufferedReader
채점 번호 : 23609674 - 방법 1 : Scanner
입력의 경우는 확실히 Scanner 보다는 BufferedReader 가 빠른 걸 볼 수 있다.
- 정리
이번에는 조금 간단하면서 쉬운 문제를 풀이해봤다. 아무래도 여러 알고리즘 문제를 풀이하는데 위 문제처럼 공식을 찾아내는 연습을 하면 도움이 많이 되기 때문에 이러한 부류의 문제들을 많이 익혀보면서 영어 독해 능력도 키워보면 어떨까 싶다.
'JAVA - 백준 [BAEK JOON] > 기타 문제' 카테고리의 다른 글
| [백준] 2261번 : 가장 가까운 두 점 - JAVA [자바] (4) | 2021.06.26 |
|---|---|
| [백준] 17298번 : 오큰수 - JAVA [자바] (45) | 2021.01.21 |
| [백준] 11653번 : 소인수분해 - JAVA [자바] (3) | 2020.10.18 |
| [백준] 1003번 : 피보나치 함수 - JAVA [자바] (24) | 2020.07.22 |
| [백준] 2748번 : 피보나치 수 2 - JAVA [자바] (6) | 2020.07.21 |