[백준] 1712번 : 손익분기점 - JAVA [자바]
https://www.acmicpc.net/problem/1712
1712번: 손익분기점
월드전자는 노트북을 제조하고 판매하는 회사이다. 노트북 판매 대수에 상관없이 매년 임대료, 재산세, 보험료, 급여 등 A만원의 고정 비용이 들며, 한 대의 노트북을 생산하는 데에는 재료비와 인건비 등 총 B만원의 가변 비용이 든다고 한다. 예를 들어 A=1,000, B=70이라고 하자. 이 경우 노트북을 한 대 생산하는 데는 총 1,070만원이 들며, 열 대 생산하는 데는 총 1,700만원이 든다. 노트북 가격이 C만원으로 책정되었다고 한다. 일반적으로
www.acmicpc.net
-
문제

아마 손익분기점에대해 어느정도 지식이 있는 분들이라면 쉽게 접근했을 수 있겠으나, 그렇지 않다면 이게 뭔가 싶기도 할 것 같다.
그래도 막상 조금만 정리해보면 매우 쉬운 문제이니 차근차근 알아보자.
※ 주의할 점
- 처음으로 이익이 발생하는 지점의 판매량을 출력하는 문제다.
- A, B, C 는 자연수로 주어진다.
- 2가지 입력방법을 이용하여 풀이한다.
Scanner 로 입력받아 연산하는 방법과 BufferedReader 로 입력받아 연산하는 방법, 두 가지 방법을 통해 풀이해보고자 한다.
- 알고리즘 [ 풀이 방법 ]
처음에는 저건 무슨 소린가 싶을 것이다.
그래도 열심히 이해할 수 있도록 최대한 자세하게 설명해주겠다.
일단 문제를 보면 3개의 변수가 주어진다.
- 고정 비용 (불변 비용)
- 가변 비용
- 상품 가격 ( 1 개 기준 가격 )
그리고 이를 각각 A, B, C 라고 칭하고 있다.
여기서 중요한 것은 고정 비용은 몇 대를 생산하던 "변하지 않는 비용"이라는 것이다.
예로들어 A 가 10 이라고 할 때, 상품을 1000개 생산하던, 1 개 생산하던 A 는 계속 10 이라는 것이다.
즉, 문제에서 풀라는 것은 n 개를 생산할 때 이익이 발생하는 시점의 n,
n x 상품 가격 (C) > 고정비용 (A) + (n x 가변비용 (B))
이를 만족하는 n 을 찾는 문제다.
( 상품 가격 x n개는 결국 수입이라는 뜻이다. 즉 , n x C 가 총 수입이다. )
좀 더 이해하기 쉽도록 문제에서 제시된 예시를 보자.
예시에서는 A = 1000, B = 70, C = 170 으로 주어졌다.
이를 n 개에 따라 표로 정리하면 다음과 같다.

보다시피 불변비용 (A) 은 1000으로 항상 고정되어있다.
가변비용 (B) 은 생산 개수에 따라 비례하여 증가하므로 70 x n 이 된다.
그리고 불변비용 (A) + 가변비용 (B) 이 결국 총 비용이 된다.
그리고 총 수입. 즉, 상품 가격 x n 은 마찬가지로 생산 개수(n) 에 따라 비례하여 증가하므로 170 x n 이 된다.
그리고 총 비용과 총 수입이 같아지는 지점은 n = 10 일 때 이고, n = 11 일 때 부터 수익이 발생한다.
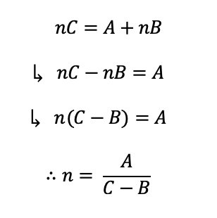
그럼 이를 수식으로 정리해보자.
일단 총 비용과 총 수입이 같아지는 지점을 수식으로 한다면 다음과 같을 것이다.

이 수식에서 우리가 구하고자 하는 것은 n 이므로 n 에 대하여 수식을 정리해보자.
| 한글 수식 | 기호 수식 |
![]() |
![]() |
어느정도 감이 잡히는가?
상품 판매 개수(판매량) 은 불변비용은 고정 값이니, 상품 가격과 가변비용에 따라서 달라진다는 의미다.
그리고 중요한 것은, 저 n 은 총 비용과 총 수익이 같아지는 지점일 뿐, 이익이 나는 지점이 아니다.
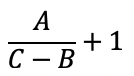
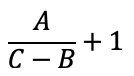
그렇기에 이익이 나는 지점이라 하면 n 에 1 이 더해진 값,
즉 수식으로는 다음과 같아야 한다.

위 공식이 바로 이익이 발생하는 판매량의 개수가 되는 것이다.
그리고 문제를 보면 하나 조건이 있다.
" 이익이 발생하는 지점(손익분기점)이 없다면 -1 을 출력하라. "
그러면 이익이 발생하지 않는 경우는 어떻게 될까?
사실 이미 답은 나와있다.
판매량, 즉 n 은 음수가 될 수 있는가?
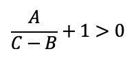
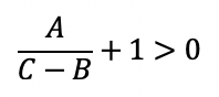
우리는 이익이 나는 지점을 수식화 했다. 그렇기 때문에 저 수식의 전제조건이라 함은 아래와 같을 것이다.

저 수식이 0 보다 크다는 의미는 이익이 발생한다는 의미라고 했다.
반대로 말하자면 저 수식이 음수가 된다면? 이익이 발생하지 않는다는 의미라는 것이다.
다시 한번 생각해보자.
A, B, C 는 모두 자연수로 주어지고 A 는 불변 값이다.
그럼 우리는 눈치 챌 수 있어야 한다. " 아! C 와 B 를 통해 음수가 된다면 이익이 발생하지 않겠구나! "
즉 우리는 다음 식을 만족한다면 이익이 발생하지 않는다.

그리고 한 가지 더 불가능한 식을 찾아보자.
만약에 C 와 B 의 값이 같다면 어떻게 되는가?
C 와 B 가 같다면 분모는 0이 되어 나눌 수 없는 식이 된다.
좀 더 구체적으로 보자면 미분을 할 줄 안다면 알겠지만
C 와 B 가 0에 가까워 질수록 식은 무한대에 가까워 진다. 즉, 0이게 되면 n 또한 무한대로 손익분기점이 발생하지 않게 된다.
그렇기에 이익이 발생하지 않는 경우를 수식으로 보자면 다음과 같다.

그리고 위 수식을 더 간단히 하자면 결과적으로는 다음과 같다.

즉, 우리는 두 가지 케이스에 따라 다르게 출력하면 된다.
입력받은 자연수 C 와 B 가 C ≤ B 를 만족한다면 '이익이 발생하지 않는 조건'이므로 -1 을 출력하면 되고,
이 외에는 ( A / ( C - B ) ) + 1 의 연산 값을 출력해주면 된다.
- 풀이
- 방법 1
import java.util.Scanner;
public class Main {
public static void main(String[] args) {
Scanner in = new Scanner(System.in);
int A = in.nextInt(); // 불변 비용
int B = in.nextInt(); // 가변 비용
int C = in.nextInt(); // 상품 가격
if (C <= B) {
System.out.println("-1");
}
else {
System.out.println((A/(C-B))+1);
}
}
}
생각보다 간단하지 않은가?
만약에 이해가 안되는 부분이 있다면.. 꼭 댓글 부탁드립니다. 최대한 설명해드리겠습니다..
- 방법 2
BufferedReader 을 쓰는 방식이다.
그리고 반드시 자료형 타입을 잘 보아야 한다.
br.readLine() 은 문자열로 데이터를 읽으니 반드시 꺼내서 쓸 때 int 형으로 쓰고자 한다면 Integer.parseInt()로 String 을 int 형으로 변환시켜준다.
또한 br.readLine() 은 한 줄을 통째로 읽기 때문에 문자열 분리를 위해 StringTokenizer 를 사용하여 공백 단위로 문자열을 분리시켜줄 것이다.
import java.io.BufferedReader;
import java.io.IOException;
import java.io.InputStreamReader;
import java.util.StringTokenizer;
public class Main {
public static void main(String[] args) throws IOException {
BufferedReader br = new BufferedReader(new InputStreamReader(System.in));
StringTokenizer st = new StringTokenizer(br.readLine());
int A = Integer.parseInt(st.nextToken());
int B = Integer.parseInt(st.nextToken());
int C = Integer.parseInt(st.nextToken());
if (C <= B) {
System.out.println("-1");
}
else {
System.out.println((A/(C-B))+1);
}
}
}
- 성능 차이

위에서 부터 순서대로
채점 번호 : 18721925 - BufferedReader
채점 번호 : 18721840 - Scanner
시간을 보면 BufferedReader 와 Scanner 의 성능차이를 볼 수 있다.
- 정리
어찌보면 아주 단순한 문제다.
수학 카테고리라서 앞으로 수학적으로 접근할 일이 많을 것이다.
이런 문제를 쉽고 빠르게 푸는 방법은 직접 수식화하여 정리를 해보는 것이다.
암산으로 풀 수 있다면 좋다만, 대게 틀리는 이유가 예외의 경우까지 암산으로 생각하기는 힘들기 때문이다.
수식화하면 앞서 알고리즘 풀이처럼 어떤 조건에서 되는지, 안되는지를 바로 알 수 있기에 문제를 푸는데 매우 용이하므로 적극 추천한다.
'JAVA - 백준 [BAEK JOON] > 기본 수학 1' 카테고리의 다른 글
| [백준] 10250번 : ACM 호텔 - JAVA [자바] (12) | 2020.04.04 |
|---|---|
| [백준] 2869번 : 달팽이는 올라가고 싶다 - JAVA [자바] (38) | 2020.04.01 |
| [백준] 1193번 : 분수찾기 - JAVA [자바] (41) | 2020.03.31 |
| [백준] 2292번 : 벌집 - JAVA [자바] (17) | 2020.03.29 |
| [백준] 2839번 : 설탕 배달 - JAVA [자바] (46) | 2020.03.28 |

