자바 [JAVA] - 선택 정렬 (Selection Sort)
[정렬 알고리즘 모음]
- Selection Sort [선택 정렬]
선택 정렬은 말 그대로 현재 위치에 들어갈 데이터를 찾아 선택하는 알고리즘이다.
데이터를 '비교'하면서 찾기 때문에 '비교 정렬'이며 정렬의 대상이 되는 데이터 외에 추가적인 공간을 필요로 하지 않기 때문에 '제자리 정렬(in-place sort)'이기도 하다. 정확히는 데이터를 서로 교환하는 과정(swap)에서 임시 변수를 필요로 하나, 이는 충분히 무시할 만큼 적은 양이기 때문에 제자리 정렬로 보는 것이다.
그리고 '불안정 정렬'이다. 이에 대한 것은 마지막에 한 번 정리하도록 하자.
- 정렬 방법
선택 정렬의 전체적인 과정은 이렇다.
1. 주어진 리스트에서 최솟값을 찾는다.
2. 최솟값을 맨 앞 자리의 값과 교환한다.
3. 맨 앞 자리를 제외한 나머지 값들 중 최솟값을 찾아 위와 같은 방법으로 반복한다.
즉, 그림으로 보면 다음과 같은 과정을 거친다.

마지막 round9 를 안하는 이유는 앞 인덱스부터 순차적으로 정렬해나가기 때문에 N개의 데이터 중 N-1개가 정렬 되어있다는 것은 결국 마지막 원소가 최댓값이라는 말이고, 이는 정렬이 되어있다는 상태이므로 굳이 참조를 해줄 필요 없다.
전체적인 흐름을 보자면 다음과 같은 형태로 정렬 한다.


그 외에도 많은 참고 영상들이 있는데, 영상으로 보는 것이 더 쉬울 것 같아 같이 첨부하도록 하겠다.
- Selection Sort 구현하기
public class Selection_Sort {
public static void selection_sort(int[] a) {
selection_sort(a, a.length);
}
private static void selection_sort(int[] a, int size) {
for(int i = 0; i < size - 1; i++) {
int min_index = i;
// 최솟값을 갖고있는 인덱스 찾기
for(int j = i + 1; j < size; j++) {
if(a[j] < a[min_index]) {
min_index = j;
}
}
// i번째 값과 찾은 최솟값을 서로 교환
swap(a, min_index, i);
}
}
private static void swap(int[] a, int i, int j) {
int temp = a[i];
a[i] = a[j];
a[j] = temp;
}
}
구현 자체는 어렵지 않다.
그리고 일반적으로 C++에서는 두 데이터를 교환할 수 있는 swap() 함수가 있으나, 자바에서는 없기 때문에 따로 구현해주는 것이 편리하다.
- 선택 정렬의 장점 및 단점
[장점]
1. 추가적인 메모리 소비가 작다.
[단점]
1. 시간복잡도가 O(N2) 이다.
2. 안정 정렬이 아니다.
단점에 대해 짚고 넘어가보자.
먼저 첫 번째 단점이다. 기본적으로 선택정렬은 O(N2)의 시간복잡도(time complexity)를 보인다.
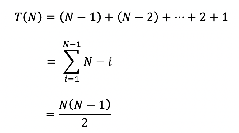
공식을 유도해보자면 이렇다.
N이 정렬해야하는 리스트의 자료 수, i가 교환되는 인덱스라고 할 때 loop(반복문)을 생각해보자.
i=1 일 때, 데이터 비교 횟수는 N-1 번
i=2 일 때, 데이터 비교 횟수는 N-2 번
i=3 일 때, 데이터 비교 횟수는 N-3 번
⋮
i=N-1 일 때, 데이터 비교 횟수는 1 번
즉, 다음과 같이 공식화 할 수 있다.

그리고 모든 N에 대하여 다음을 만족하기 때문에 시간복잡도 또한 도출 할 수 있다.

물론 Bubble Sort 와 이론상 같은 시간복잡도를 갖음에도 비교 수행이 상대적으로 적기 때문에 조금 더 빠르긴 하나 그럼에도 좋은 알고리즘인 것은 아니다.
두 번째 단점은 안정 정렬이 아니라는 것이다. 즉, Stable 하지 않다는 것. 간단한 예를 들어보겠다.
우리는 다음과 같은 배열을 정렬하고자 한다.
[B1, B2, C, A] (A < B < C)
주의해서 볼 점은 B에 붙어있는 숫자는 임의로 붙인 숫자다. B1이 B2보다 크거나 작은 것이 아니라는 점 유의하길 바란다.
그럼 순서대로 순회하면서 교환한다면 이렇다.
round 1 : [A, B2, C, B1]
round 2 : [A, B2, C, B1]
round 3 : [A, B2, B1, C]
이렇게 초기의 B1 B2의 순서가 뒤 바뀐 것을 볼 수 있다.
이러한 상태를 불안정 정렬이라고 하는데 문제가 되는 이유는 예로들어 학생을 관리하고자 할 때, 성적순으로 나열하되, 성적이 같으면 이름을 기준으로 정렬하고 싶다고 할 때. 즉, 정렬 규칙이 다수이거나 특정 순서를 유지해야 할 때 문제가 될 수 있다.
[(가영, 60), (가희, 60), (찬호, 70), (동우, 45)] 이렇게 리스트가 존재한다고 생각해보자. 성적순이되, 성적이 같다면 이름순으로 정렬해야 한다고 했다.
그러면 보통 이름을 일단 정렬을 해놓을 것이다.
<이름 정렬 순>
[(가영, 60), (가희, 60), (동우, 45), (찬호, 70)]
그 다음에 '성적 순'으로 정렬 할 것이다. 만약 선택 정렬을 하면 어떻게 되는지 보자.
round 1 : [(동우, 45), (가희, 60), (가영, 60), (찬호, 70)]
round 2: [(동우, 45), (가희, 60), (가영, 60), (찬호, 70)]
round 3: [(동우, 45), (가희, 60), (가영, 60), (찬호, 70)]
이렇게 '가희'보다 '가영'이 앞에 있어야 함에도 순서가 바뀌어 버린 것을 볼 수 있다.
- 정리
선택 정렬의 경우 정렬 알고리즘의 기초다보니 대부분 거품 정렬(Bubble Sort), 삽입 정렬(Insertion Sort) 과 함께 많이 배운다. 물론 성능상 좋지는 못하더라도 이러한 알고리즘들을 확실하게 익혀야 좀 더 고급스러운 정렬들을 이해 할 수 있으니 잘 익혀두길 바란다.
마지막으로 후에 천천히 다뤄보겠지만 미리 각 정렬 별 성능표만 보여주고 가겠다.
필자가 테스트 한 결과로 selection sort는 5초대에 자리하고 있다. (컴퓨터의 환경에 따라 달라질 수 있다) 이후에 아래 알고리즘들을 모두 구현해볼 것이다.
또한 각 정렬 알고리즘 별 시간 복잡도와 평균 정렬 속도는 다음과 같다.

이후에 차근차근 구현해보겠지만, 각 알고리즘마다 최상과 평균 시간복잡도와 안정성은 어느정도 알고있는 것이 좋다.
(참고로 Shell Sort의 경우 /가 나눗셈을 의미하는게 아니라 갭 시퀀스(gap sequence)에 따라 시간복잡도가 달라진다. 그래서 'gap sequence가 좋은 경우' / 'gap sequence가 나쁜 경우' 이렇게 보면 된다. 자세한 내용은 shell sort를 다룰 때 말해드리겠다.)
+추가)
전에 Counting 정렬을 다뤘긴 했지만, 본격적으로 정렬 알고리즘을 다뤄보고자 첫 포스팅으로 선택정렬을 포스팅 했다. 물론 많은 분들이 이 내용에 대해 포스팅도 했고, 필자보다 더 설명이 잘 된 글들도 많이 있을테지만, Tim Sort와 Dual-pivot Quick Sort 에 대해서는 다룬 글을 보지 못한 것 같다.
그런 이유에서 시작하긴 했지만 뜬금없이 Tim Sort와 Dual-pivot Quick Sort을 먼저 다루면 매우 어려운 내용이다... 그래서 필자가 두 개의 정렬 알고리즘을 구현하기 전에 쉬운 정렬알고리즘부터 천천히 구현해나가면서 이해하여 최종목표로 Tim Sort와 Dual-pivot Quick Sort 을 구현해보려고 한다.
앞으로 부족한 부분이 있거나 궁금한 점이 있다면 언제든 댓글 달아주시면 감사하겠다.
그 외에 필자가 여러 타입들에 대해 구현 한 정렬 알고리즘 소스 코드들을 자세히 보고싶다면 아래 깃허브 repo에 업로드되어있으니 이를 참고하시길 바란다.
https://github.com/kdgyun/Sorting_Algorithm.git
kdgyun/Sorting_Algorithm
Contribute to kdgyun/Sorting_Algorithm development by creating an account on GitHub.
github.com
'알고리즘 > Java' 카테고리의 다른 글
| 자바 [JAVA] - 셸 정렬 (Shell Sort) (18) | 2021.02.18 |
|---|---|
| 자바 [JAVA] - 거품 정렬 (Bubble Sort) (2) | 2021.01.18 |
| 자바 [JAVA] - 삽입 정렬 (Insertion Sort) (8) | 2020.11.30 |
| 자바 [JAVA] - 카운팅 정렬 (Counting Sort / 계수 정렬) (36) | 2020.05.29 |
| JAVA [자바] - 소수 구하는 알고리즘 및 구현 (25) | 2020.04.15 |