[백준] 2004번 : 조합 0의 개수 - JAVA [자바]
2004번: 조합 0의 개수
첫째 줄에 정수 n, m (0 ≤ m ≤ n ≤ 2,000,000,000, n ≠ 0)이 들어온다.
www.acmicpc.net
-
문제

이전의 팩토리얼 0의 개수를 정확히 이해하고 풀었다면 쉽게 풀 수 있는 문제다.
- 알고리즘 [접근 방법]
먼저 이 문제를 풀기 전에 아래 글에서 다루고 있는 0의 개수를 세는 방식을 이해하기 위해 보는 것을 추천한다.
[백준] 1676번 : 팩토리얼 0의 개수 - JAVA [자바]
www.acmicpc.net/problem/1676 1676번: 팩토리얼 0의 개수 N!에서 뒤에서부터 처음 0이 아닌 숫자가 나올 때까지 0의 개수를 구하는 프로그램을 작성하시오. www.acmicpc.net 문제 정말 정말 쉬운 문제다. 알고리
st-lab.tistory.com
이전 문제를 풀어봤다면 알겠지만, 한 팩토리얼 값에 2와 5의 승수가 겹치는 수를 구하는 것이 관건이다.
문제에서 나와있길 nCm 을 구하는 문제이기 때문에 결국 이항 계수의 공식을 생각하면 된다. 이항 계수의 공식은 팩토리얼 값으로 공식이 이루어져 있기 때문에 이를 이용하면 매우 쉽게 풀 수 있다는 것이다.
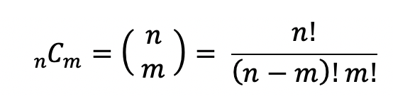
일단 이항 계수를 구하는 공식은 다음과 같다.

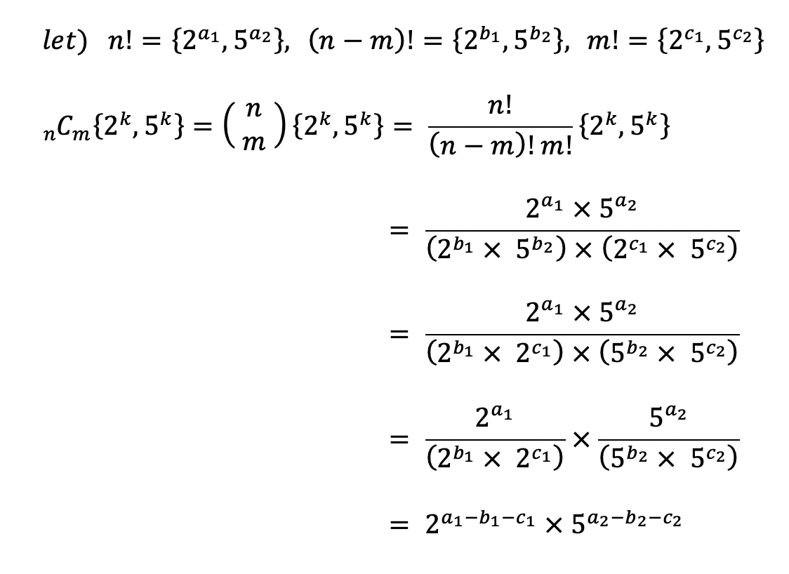
여기서 0의 개수는 2와 5의 겹치는 승수의 값과 같다. 즉, n!, (n-m)!, m! 의 2와 5의 승수를 구한다.
좀 더 쉽게 설명하자면 이렇다. 위 nCm에서 2와 5의 승수를 뽑는다고 할 때 다음과 같이 표현 할 수 있다.

여기서 2의 승수(a1 - b1, c1) 와 5의 승수(a2 - b2 - c2) 가 구해졌으면 이제 겹치는(짝지을 수 있는) 개수를 구하면 되므로, 2와 5의 승수 중 최솟값을 출력하면 된다.
이를 알고리즘으로 짜자면 이렇다.
void main() {
long N = inputLong();
long M = inputLong();
// 각각의 승수를 구해준다.
long count5 = five_power_n(N) - five_power_n(N - M) - five_power_n(M);
long count2 = two_power_n(N) - two_power_n(N - M) - two_power_n(M);
print(min(count5, count2));
}
// 5의 승수를 구하는 함수
long five_power_n(long num) {
int count = 0;
while(num >= 5) {
count += num/5;
num /= 5;
}
return count;
}
// 2의 승수를 구하는 함수
long two_power_n(long num) {
int count = 0;
while(num >= 2) {
count += num/2;
num /= 2;
}
return count;
}
- 2가지 방법을 사용하여 풀이한다.
입력의 방식을 달리하여 성능 비교를 해보고자 한다. 알고리즘은 위의 방식을 그대로 쓸 것이다.
1 . Scanner
2. BufferedReader
- 풀이
- 방법 1 : [Scanner]
import java.util.Scanner;
public class Main {
public static void main(String[] args) {
Scanner in = new Scanner(System.in);
long N = in.nextLong();
long M = in.nextLong();
// 각각의 승수를 구해준다.
long count5 = five_power_n(N) - five_power_n(N - M) - five_power_n(M);
long count2 = two_power_n(N) - two_power_n(N - M) - two_power_n(M);
System.out.println(Math.min(count5, count2));
}
// 5의 승수를 구하는 함수
static long five_power_n(long num) {
int count = 0;
while(num >= 5) {
count += (num / 5);
num /= 5;
}
return count;
}
// 2의 승수를 구하는 함수
static long two_power_n(long num) {
int count = 0;
while(num >= 2) {
count += (num / 2);
num /= 2;
}
return count;
}
}
문제만 정확히 이해한다면 어렵지 않게 풀 수 있다.
참고로 이번에는 입력값이 20억이 넘기 때문에 안전하게 long 타입으로 받자.
- 방법 2 : [BufferedReader]
입력 방법을 Scanner 대신 BufferedReader 을 사용하여 풀이하는 방법이다.
import java.io.BufferedReader;
import java.io.InputStreamReader;
import java.io.IOException;
import java.util.StringTokenizer;
public class Main {
public static void main(String[] args) throws IOException {
BufferedReader br = new BufferedReader(new InputStreamReader(System.in));
StringTokenizer st = new StringTokenizer(br.readLine(), " ");
long N = Long.parseLong(st.nextToken());
long M = Long.parseLong(st.nextToken());
// 각각의 승수를 구해준다.
long count5 = five_power_n(N) - five_power_n(N - M) - five_power_n(M);
long count2 = two_power_n(N) - two_power_n(N - M) - two_power_n(M);
System.out.println(Math.min(count5, count2));
}
// 5의 승수를 구하는 함수
static long five_power_n(long num) {
int count = 0;
while (num >= 5) {
count += (num / 5);
num /= 5;
}
return count;
}
// 2의 승수를 구하는 함수
static long two_power_n(long num) {
int count = 0;
while (num >= 2) {
count += (num / 2);
num /= 2;
}
return count;
}
}
크게 어려울 것은 없을 것이다.
- 성능

채점 번호 : 23699382 - 방법 2 : BufferedReader
채점 번호 : 23699379 - 방법 1 : Scanner
언제나 그렇듯 Scanner 보다는 BufferedReader 가 빠른 걸 볼 수 있다.
- 정리
이 문제가 생각보다 정답률이 낮았다. 이전 팩토리얼 0의 개수 구하는 문제는 정답률이 높은 걸 보아 이 문제에 대해 풀이 방법은 알아도 정확한 개념 이해로 알게 된 것이 아니여서 그러지 않을까 싶다. 만약 개념만 정확하게 이해했다면 정말 쉽게 풀 수 있는 문제라..
위 알고리즘대로라면 int형으로 받아도 상관 없기 때문에 아마 범위 문제라면 필자와 다른 알고리즘을 사용하면서 해당 알고리즘에 입력값을 더하거나 곱하는 과정이 포함되어있을 수 있다.
만약 어렵거나 이해가 되지 않은 부분이 있다면 언제든 댓글 남겨주시면 최대한 빠르게 답변드리겠다.
'JAVA - 백준 [BAEK JOON] > 정수론 및 조합론' 카테고리의 다른 글
| [백준] 1010번 : 다리 놓기 - JAVA [자바] (22) | 2021.01.18 |
|---|---|
| [백준] 1934번 : 최소공배수 - JAVA [자바] (0) | 2021.01.17 |
| [백준] 1676번 : 팩토리얼 0의 개수 - JAVA [자바] (27) | 2020.11.05 |
| [백준] 9375번 : 패션왕 신해빈 - JAVA [자바] (9) | 2020.11.04 |
| [백준] 11051번 : 이항 계수 2 - JAVA [자바] (12) | 2020.10.30 |