[백준] 10430 번 : 나머지 - JAVA [자바]
https://www.acmicpc.net/problem/10430
10430번: 나머지
첫째 줄에 A, B, C가 순서대로 주어진다. (2 ≤ A, B, C ≤ 10000)
www.acmicpc.net
- 문제

매우 간단한 문제다!
※ 주의할점
- 입력은 공백단위로 구분 된다.
- 나머지를 구하는 문제라 변수를 정수형으로 계산한다.
- 풀이하기 전에 ... 모듈러 연산 ( Modular Arithmetic ) 과 증명
위 문제에서 그냥 출력만 하고 땡이지! 라고 하기에는 너무 아까운 문제다.
모듈러 연산이라고 들어보셨는지 모르겠다. ( 아마 대부분 배웠지 않았을까..? )
갑자기 모듈러 연산이라고? 라고 한다면 나머지와 관련된 연산식이 바로 모듈러 연산이다.
우리는 프로그래밍에서 대부분 나머지 연산 할 때 %로 표기하며 아래와 같이 표현한다.
17 % 3 = 2
이 것을 일반 표기법으로 바꾸면 다음과 같다.
17 mod 3 = 2
이제 표현 방법을 알았으니 왜 언급했는지 알려주겠다.
문제에서 총 4개의 케이스가 나왔다.
- (A+B) %C
- (A%C + B%C)%C
- (A*B)%C
- (A%C * B%C)%C
만약 이 문제를 풀어보신 분들을 알겠지만 컴파일 하여 자연수의 어떤 값이던 넣어보면 1번식과 2번식의 값이 같고, 3번식과 4번식의 값이 같다.
이는 모듈러 연산의 대표적 속성 두 가지를 보여주고 있다.
증명 방법을 보고 싶다면 아래 더 보기를 클릭하면 된다.
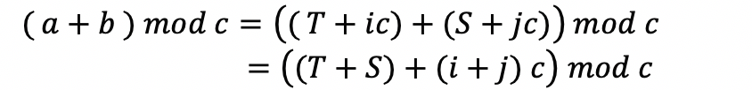
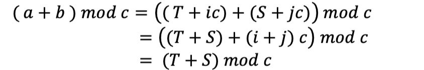
[증명 1] : (A+B) %C = (A%C + B%C)%C
[증명]
증명 과정 자체는 매우 간단하다.

위 공식대로 풀면 되는데 하나하나 설명해보겠다.
먼저 a 와 b에 대해 c로 나눈 나머지 값을 mod 로 표현하여 정의한다. (이때 T 와 S 는 a 와 b 의 나머지다)
그럼 a와 b에 대하여 식을 변형 할 수 있는데 그게 바로 아래와 같은 것이다.

그럼 저 두 식을 갖고 우리가 증명하려는 식에 대입해보고 식을 정리해보자.

위 식에서 느낌이 오는가?
c = 0 이 아닌 이상 ( i + j )*c 는 0 또는 3의 배수다.
이 말은 i 와 j 의 값에 상관 없이 c의 배수이기 때문에 ( i + j )*c mod c = 0 이다.
즉 나머지 연산에서 ( T + S ) 의 나머지에 대하여 ( i + j )*c 는 위 식의 나머지 값에 대햐여 아무런 영향을 미치지 못한다.
그러므로 다음과 같이 쓸 수 있다.

그리고 T 와 S 는 처음 정의했듯이 각 각 a mod c 와 b mod c 이므로 이들로 교체해주면 우리가 증명하고자 한 공식이 완성된다.

증명 완료
[증명2] : (A*B)%C = (A%C * B%C)%C
[증명2]
이 공식도 1번 증명 방법이랑 유사하다.

따로 하나하나 설명하지는 않겠다. ( 증명 1 을 이해한다면 이 것도 이해가 될 것이다. )
마찬가지로 곱셈을 풀어준 뒤 c 로 묶인 것들은 나머지 값에 영향을 미치지 못하므로 생략해주면 위 같이 공식이 성립함을 볼 수 있다.
- 2가지 입력방법을 이용하여 풀이한다.
Scanner 로 입력받아 연산하는 방법과 BufferedReader 로 입력받아 연산하는 방법, 두 가지 방법을 통해 풀이해보고자 한다.
위 방법은 앞서 포스팅에서도 언급했으니 만약 쓰는 방법을 모른다면 아래 링크를 통해 읽어보는 것을 추천한다.
[백준] 1000번 : A+B - JAVA [자바]
https://www.acmicpc.net/problem/1000 1000번: A+B 문제 두 정수 A와 B를 입력받은 다음, A+B를 출력하는 프로그램을 작성하시오. 입력 첫째 줄에 A와 B가 주어진다. (0 < A, B < 10) 출력 첫째 줄에 A+B를 출력..
st-lab.tistory.com
※Scanner 와 BufferedReader 의 입력방법에 대해 알아보고자 한다면 아래 링크의 포스팅을 보면 된다.
JAVA [자바] - 입력 뜯어보기 [Scanner, InputStream, BufferedReader]
이 글을 지금 이 시점에 써야 할까 고민을 많이 했다. 사실 자바를 그냥 다룰 줄만 아는 것에 목표를 둔다면 이 글이 무의미할 수도 있다. 그러나 자바에 대해 조금이라도 관심이 있고 더 배우고 싶은 분들도 있겠..
st-lab.tistory.com
- 풀이
- 방법 1
import java.util.Scanner;
public class Main {
public static void main(String[] args) {
Scanner in = new Scanner(System.in);
int A = in.nextInt();
int B = in.nextInt();
int C = in.nextInt();
in.close();
System.out.println( (A+B)%C );
System.out.println( (A%C + B%C)%C );
System.out.println( (A*B)%C );
System.out.println( (A%C * B%C)%C );
}
}
가장 기본적인 방법이다. 하지만 Scanner 자체가 성능이 좋진 않으므로 필자는 다음과 같은 방법을 쓴다.
- 방법 2
BufferedReader 을 쓰는 방식이다.
readLine() 을 통해 입력 받아 연산하는 방법 두 가지를 설명할 것이다.
앞서 말했듯이 readLine() 은 한 행을 전부 읽기 때문에 공백단위로 입력해 준 문자열을 공백단위로 분리해주어야 문제를 풀 수 있을 것이다.
문자열 분리 방법 두 가지로 풀어보자.
- StringTokenizer 클래스를 이용하여 분리해주는 방법
- split() 을 이용하는 방법
그리고 반드시 자료형 타입을 잘 보아야 한다.
st.nextToken() 은 문자열을 반환하니 Integer.parseInt()로 int 형으로 변환시켜준다.
(double 형으로 풀면 나머지가 정수로 나와도 소수점까지 같이 출력되어 오답으로 처리된다.)
// 방법 2-1
import java.io.BufferedReader;
import java.io.InputStreamReader;
import java.io.IOException;
import java.util.StringTokenizer;
public class Main {
public static void main(String[] args) throws IOException {
BufferedReader br = new BufferedReader(new InputStreamReader(System.in));
String str = br.readLine();
StringTokenizer st = new StringTokenizer(str," ");
int A = Integer.parseInt(st.nextToken());
int B = Integer.parseInt(st.nextToken());
int C = Integer.parseInt(st.nextToken());
System.out.println( (A+B)%C );
System.out.println( (A%C + B%C)%C );
System.out.println( (A*B)%C );
System.out.println( (A%C * B%C)%C );
/*
굳이 String 변수 생성 안하고 입력과 동시에 구분자로 분리해줘도 된다.
BufferedReader br = new BufferedReader(new InputStreamReader(System.in));
StringTokenizer st = new StringTokenizer(br.readLine()," ");
int A = Integer.parseInt(st.nextToken());
int B = Integer.parseInt(st.nextToken());
int C = Integer.parseInt(st.nextToken());
System.out.println( (A+B)%C );
System.out.println( (A%C + B%C)%C );
System.out.println( (A*B)%C );
System.out.println( (A%C * B%C)%C );
*/
}
}
두 번째 방법은 br.readLine() 을 통해 읽어온 것을 split(" ") 하여 공백 단위로 나눠준 뒤 String 배열에 각각 저장하는 방법이다.
// 방법 2-2
import java.io.BufferedReader;
import java.io.InputStreamReader;
import java.io.IOException;
public class Main {
public static void main(String[] args) throws IOException {
BufferedReader br = new BufferedReader(new InputStreamReader(System.in));
String[] str = br.readLine().split(" ");
int A = Integer.parseInt(str[0]);
int B = Integer.parseInt(str[1]);
int C = Integer.parseInt(str[2]);
System.out.println( (A+B)%C );
System.out.println( (A%C + B%C)%C );
System.out.println( (A*B)%C );
System.out.println( (A%C * B%C)%C );
}
}
- 그 외 방법
필자는 시간 단축 (성능 개선)을 매우 좋아하는지라 필자가 사용한 방법이다.
BufferedReader + StringBuilder
import java.io.BufferedReader;
import java.io.InputStreamReader;
import java.io.IOException;
import java.util.StringTokenizer;
public class Main {
public static void main(String[] args) throws IOException {
BufferedReader br = new BufferedReader(new InputStreamReader(System.in));
StringTokenizer st = new StringTokenizer(br.readLine()," ");
int A = Integer.parseInt(st.nextToken());
int B = Integer.parseInt(st.nextToken());
int C = Integer.parseInt(st.nextToken());
StringBuilder sb = new StringBuilder();
sb.append( (A+B)%C );
sb.append('\n');
sb.append( (A%C + B%C)%C );
sb.append('\n');
sb.append( (A*B)%C );
sb.append('\n');
sb.append( (A%C * B%C)%C );
System.out.println(sb);
}
}
BufferedReader + BufferedWriter
import java.io.BufferedReader;
import java.io.InputStreamReader;
import java.io.BufferedWriter;
import java.io.OutputStreamWriter;
import java.io.IOException;
import java.util.StringTokenizer;
public class Main {
public static void main(String[] args) throws IOException {
BufferedReader br = new BufferedReader(new InputStreamReader(System.in));
StringTokenizer st = new StringTokenizer(br.readLine()," ");
int A = Integer.parseInt(st.nextToken());
int B = Integer.parseInt(st.nextToken());
int C = Integer.parseInt(st.nextToken());
BufferedWriter bw = new BufferedWriter(new OutputStreamWriter(System.out));
bw.write( ((A+B)%C) + "\n" );
bw.write( ((A%C + B%C)%C) + "\n" );
bw.write( ((A*B)%C) + "\n" );
bw.write( ((A%C * B%C)%C) + "\n" );
bw.flush();
bw.close();
}
}
- 성능 차이

위에서 부터 순서대로
채점 번호 : 17530320 - BufferedReader + StringTokenizer +BufferedWriter 사용
채점 번호 : 17530311 - BufferedReader + StringTokenizer + StringBuilder 사용
채점 번호 : 17530304 - BufferedReader + String.split + System.out.println() 사용
채점 번호 : 17530297 - BufferedReader + StringTokenizer + System.out.println() 사용
채점 번호 : 17530285 - Scanner + System.out.println() 사용
시간을 보면 BufferedReader 와 Scanner 의 성능차이가 확연하게 나는 것을 볼 수가 있다.
아직까진 출력이나 문자열 분리에서 성능차이가 눈에 보이지는 않는다.
아직까진 그냥 이런 방법들도 있구나~ 하면서 익혀두었으면 한다.
- 정리
문제는 간단했지만 모듈러 연산의 두가지 속성에 대해 알아두었으면 좋겠다 싶어 글이 길어졌다.
모듈러 연산은 암호시스템에서 사용 될 때가 있으므로 익혀둬서 나쁠 것은 없지 않은가.
모르는 부분이나 증명에서 궁금한 점 있으면 댓글 남겨주시면 감사하겠다.
'JAVA - 백준 [BAEK JOON] > 입출력과 사칙연산' 카테고리의 다른 글
| [백준] 25083번 : 새싹 - JAVA [자바] (2) | 2022.05.07 |
|---|---|
| [백준] 2588번 : 곱셈 - JAVA [자바] (15) | 2020.02.09 |
| [백준] 10869번 : 사칙연산 - JAVA [자바] (8) | 2020.02.08 |
| [백준] 1008번 : A/B - JAVA [자바] (0) | 2020.02.08 |
| [백준] 10998번 : A×B - JAVA [자바] (0) | 2020.02.07 |